2  Validation PKpop Amox Fournier 2018

Show the code
here::i_am("Model_implementation_validation/quarto/valid_amox_fournier_2018.qmd")
# Functions used for simulation-----

# export functions contained in the "functions" folder
list_of_function_path = list.files(
  path = here::here("Model_implementation_validation/R_functions/"),
  pattern = ".*\\.R$",
  full.names = TRUE
  ) 

purrr::walk(.x=list_of_function_path,.f=source)

3 Paper

Fournier et al. (2018)

4 Model description

Show the code
doi <- "10.1128/AAC.00505-18"
readr::read_csv(
  file = here::here("Model_implementation_validation/data/fournier_2018/model_description.csv"),
  show_col_types = F
) |>
  dplyr::filter(DOI == doi) |>
    dplyr::rename("Structural model" = structural_model,
                "Variability model" = variability_model,
                "Covariates effects" = covariate_effects,
                "Number of patients" = patients_number,
                "Free or total concentrations" = free_or_total_concentrations,
                "Unbound fraction" = unbound_fraction) |>
  knitr::kable()
Table 4.1: Model description
DOI Structural model Variability model Covariates effects Number of patients Free or total concentrations Unbound fraction
10.1128/AAC.00505-18 2-comp log-normal clearance creatinine clearance on clearance 21 total 0.82

4.1 Model parameters

Show the code
readr::read_csv(
  file = here::here("Model_implementation_validation/data/fournier_2018/model_parameters.csv"),
  show_col_types = F
) |>
  dplyr::select(-DOI) |>
  knitr::kable() |>
  kableExtra::add_footnote(label = "theta_CLCR_CL was wrongly reported as 0.57 
                           in the publication, email exchanges with the authors 
                           confirmed that the actual value was 0.0057")
Table 4.2: Model parameters
parameter_name parameter_description unit mean rse
CLpop Typical clearance L/h 13.6000 0.08
theta_CRCL_CL Covariate effect of creatinine clearance on amoxicillin clearance unitless 0.0057 0.25
Vcpop Typical central volume of distribution L 9.7300 0.20
Q Intercompartimental clearance L/h 20.1000 0.24
Vp Peripheral volume of distribution L 17.6000 0.14
fup Plasma unbound fraction unitless 0.8200 NA
cv_iiv_CL Coefficient of variation of the inter individual variability on cleara unitless 0.3730 0.19
ruv_prop Proportional residual variability unitless 0.3700 0.19
ruv_add Additive residual variability mg/L 0.0800 0.10

Note: atheta_CLCR_CL was wrongly reported as 0.57 in the publication, email exchanges with the authors confirmed that the actual value was 0.0057

4.2 Inter-individual variability and covariate effects

\[ CL_{i} = CL_{pop} \times [1 + (\theta_{CLCR-CL} \times (CLCR_{i} - 110))] \times e^{\eta_{i}} \]

With :

  • \(CL_{i}\) : Amoxicillin clearance for individual i

  • \(CLCR_i\) : Creatinine clearance for individual i

  • \(\eta_{i}\) : Normal variable with mean 0 and variance \(\omega^2_{CL}\)

  • Other parameters defined in Table 5.2

Central volume of distribution is allometrically scaled to body weight : \[ V1_{i} = V1_{pop} \times \frac{BW}{70} \] With :

  • \(V1_{i}\) : Central volume of distribution for individual i

  • \(BW\) : Body weight of the individual i in kilograms

5 Validation of the mrgsolve implementation

To validate that our implementation of the model is correct we will attempt to reproduce figure 4 and table 4 of the original article

5.1 Preliminary testing

First we check that simulations for a single dosing regimen and creatinine clearance value make sense.

Show the code
set.seed(1000)
simulate_weights <- function(n, mean, sd) {
  mean * exp(rnorm(n = n, mean = 0, sd = sd))
}

# run only if the file does not exist
if (!file.exists(here::here("Model_implementation_validation/data/fournier_2018/simulated_patients.csv"))) {
  patient_table <-
    tibble::tibble(ID = 1:500, 
                   WT = simulate_weights(n = 500, mean = 89, sd = 0.184))
  
  metadata_patient_table <- tibble::tibble(
    column_name = c("ID", "BW"),
    column_description = c("Patient identifier", "Patient weight"),
    unit = c("unitless", "kg")
  )
  
  readr::write_csv(
    x = patient_table,
    file = here::here("Model_implementation_validation/data/fournier_2018/simulated_patients.csv")
  )
  
  readr::write_csv(
    x = metadata_patient_table,
    file = here::here(
      "Model_implementation_validation/data/fournier_2018/metadata_simulated_patients.csv"
    )
  )
}
Show the code
path_dosing_regimens <- here::here("Model_implementation_validation/data/fournier_2018/dosing_regimen_fig_4.csv")

patients <- readr::read_csv(
  file = here::here("Model_implementation_validation/data/fournier_2018/simulated_patients.csv"),
  show_col_types = F
)

path_parameters <- here::here("Model_implementation_validation/data/fournier_2018/model_parameters.csv")

model <- mrgsolve::mread(model = here::here("Model_implementation_validation/mrgsolve/amox_Fournier.cpp"))

var_eta_CL <- cv_to_var(distribution = "lognormal",
                    cv = 0.373)

eta_dosing_reg_2g_q4h <- select_dosing_regimens(
  selected_regimen = "2g q4h",
  path_to_the_file = path_dosing_regimens
)

sim_dur <- 96 # hours
sim_step <- 1 / 6 # 1 every 10 min
omega_mat <- mrgsolve::dmat(var_eta_CL)

convert_clcr_to_creat_cg <- function(clcr,
                                  sex = 0,
                                  bsa = 1.73,
                                  age = 60,
                                  wt = 72) {
  sex_factor <-  ifelse(sex==0, 1, 0.85)
  creat <- ((140-age)*sex_factor*wt) /(clcr *72) 
  creat
}

cov_default <- list(CREAT = convert_clcr_to_creat_cg(200), WT = 72, BSA = 1.73, AGE = 60, SEX = 0, MIC = 1)

# simulation for patients with a CLCR of200 mL/min, dosing regimen : 2g q4h
set.seed(1000)

sim_2g_q4h_clcr_200 <- simulate_mrgsolve(
  dosing_regimen = eta_dosing_reg_2g_q4h,
  sim_dur = sim_dur,
  model = model,
  patients = patients,
  sim_step = sim_step,
  param_file = path_parameters,
  cov_default = cov_default,
  omega_mat = omega_mat
)

plot_sim_2g_q4h_clcr_200 <- sim_2g_q4h_clcr_200 |>
  dplyr::summarise(
    .by = time,
    q5 = quantile(IPRED, 0.05),
    q50 = quantile(IPRED, 0.5),
    q95 = quantile(IPRED, 0.95)
  ) |>
  ggplot2::ggplot(mapping = ggplot2::aes(x = time)) +
  ggplot2::geom_ribbon(mapping = ggplot2::aes(ymin = q5, ymax = q95), alpha = 0.7) +
  ggplot2::geom_line(mapping = ggplot2::aes(y = q50)) +
  ggplot2::scale_x_continuous(
    name = "Time (h)",
    breaks = seq(0, sim_dur, by = 12)
  ) +
  ggplot2::scale_y_continuous(name = "Total concentration (mg/L)") +
  ggplot2::theme_classic() +
  ggplot2::ggtitle(label = paste0(nrow(patients), " patients CLCR = 200 mL/min"))

plot_sim_2g_q4h_clcr_200

Show the code
pta_ft_over_mic_72_96_2g_q4h_clcr_200_MIC_1 <- compute_ft_over_mic(
  sim_tbl = sim_2g_q4h_clcr_200,
  from = 72,
  to = 96
) |>
  compute_pta_t_over_mic(target = 0.5)

pta_ft_over_mic_72_96_2g_q4h_clcr_200_MIC_1 |>
  knitr::kable()
MIC mean_ft_over_mic sd_ft_over_mic median_ft_over_mic PTA_0.5
1 0.9862974 0.0561477 1 1

Profiles seem to make sense, the implementation looks ok so far.

5.2 Reproduction of Figure 4

The figure represents the probability of target attainment for a population of 500 virtual patients of various weight and creatinine clearance, receiving various dosing regimens of amoxicillin. These dosing regimens are represented in the following table :

Show the code
readr::read_csv(here::here("Model_implementation_validation/data/fournier_2018/dosing_regimen_fig_4.csv")) |>
  dplyr::rename(
    "Dose (mg)" = amt,
    "Interdose interval (h)" = ii,
    "Infusion duration (h)" = tinf,
    "Dosing regimen" = regimen_id
  ) |>
  dplyr::select(-time, -ss, -evid, -cmt) |>
  knitr::kable()
Table 5.1: Simulated dosing regimen
Dose (mg) Infusion duration (h) Interdose interval (h) Dosing regimen
2000 0.5 4 2g q4h
2000 2.0 6 2g q6h IT = 2h
2000 2.0 4 2g q4h IT = 2h
2000 0.5 8 2g q8h
1000 0.5 4 1g q4h
1000 2.0 4 1g q4h IT = 2h
1000 0.5 6 1g q6h
1000 0.5 8 1g q8h
1000 0.5 12 1g q12h
500 0.5 4 0.5g q4h
500 0.5 6 0.5g q6h
500 0.5 8 0.5g q8h
500 0.5 12 0.5g q12h
2000 2.0 8 2g q8h IT = 2h
1000 2.0 6 1g q6h IT = 2h

Patients weights were sampled from a lognormal distribution with mean 89 kg and standard deviation of 0.184 ln(kg).

Show the code
clcr_values <- c(15, 30, 60, 100, 150, 200)
creat_values <- convert_clcr_to_creat_cg(clcr_values,wt=70) #convert using mdrd assuming male, 60 yo, and base size

pretty_clcr_values <- paste0(clcr_values, " mL/min")

Simualtions were performed for 6 creatinine clearance values(15 mL/min, 30 mL/min, 60 mL/min, 100 mL/min, 150 mL/min, 200 mL/min)

Show the code
fu <- 0.82
pkpd_targets <- c(0.5, 1)
mics <- 2^seq(-2, 4)

pretty_pkpd_targets <- paste0(pkpd_targets * 100, "%")

Two different fT>MIC (with unbound fraction = 0.82) were studied (50%, 100%). They were computed for a range of MICs (0.25, 0.5, 1, 2, 4, 8, 16 mg/L).

The PTA when the target is 100% of the time above MIC calculated between 10 and 11 simulated days of treatment are inferior to those calculated between 9 and 10 days or 11 and 12 days. In order to reproduce figure 4, PTA were calculated between the 11 an 12th days of therapy.

Show the code
fig4_pta_twelve_days_result_path <-
  here::here(
    "Model_implementation_validation/data/fournier_2018/sim_results/fig_4_pta_results_twelve_days_of_sim.csv"
  )

# run only if results does not exist yet
if (!file.exists(fig4_pta_twelve_days_result_path)) {
  # Function to #compute PTA for  1 dosing regimen, 1 CLCR, 1 MIC, enables looping through them
  wrapper_compute_pta <- function(dosing_reg_id,
                                  path_dosing_regimens,
                                  sim_dur,
                                  sim_step,
                                  model,
                                  patients,
                                  path_parameters,
                                  cov_default,
                                  omega_mat,
                                  from,
                                  to,
                                  targets) {
    
    dosing_reg <- select_dosing_regimens(
      selected_regimen = dosing_reg_id,
      path_to_the_file = path_dosing_regimens
    )

    sim <- simulate_mrgsolve(
      dosing_regimen = dosing_reg,
      sim_dur = sim_dur,
      model = model,
      patients = patients,
      sim_step = sim_step,
      param_file = path_parameters,
      cov_default = cov_default,
      omega_mat = omega_mat
    )

    pta <-
      purrr::map(
        targets,
        ~ compute_ft_over_mic(
          sim_tbl = sim,
          from = from,
          to = to
        ) |>
          compute_pta_t_over_mic(target = .x)
      ) |>
      purrr::reduce(dplyr::left_join) |>
      dplyr::mutate(
        CLCR = cov_default$CLCR,
        regimen_id = dosing_reg_id
      )

    pta
  }

  #### Dosing regimens to be simulated ####
  path_dosing_regimens <- here::here("Model_implementation_validation/data/fournier_2018/dosing_regimen_fig_4.csv")
  dosing_regimens_ids <- readr::read_csv(path_dosing_regimens) |>
    dplyr::pull(regimen_id) |>
    unique()

  #### Patient level covariates ####
  patients <- readr::read_csv(
    file = here::here("Model_implementation_validation/data/fournier_2018/simulated_patients.csv"),
    show_col_types = F
  )

  #### PK model, structural and variability parameters ####
  model <- mrgsolve::mread(model = here::here("Model_implementation_validation/mrgsolve/amox_Fournier.cpp"))
  path_parameters <- here::here("Model_implementation_validation/data/fournier_2018/model_parameters.csv")
  eta_CL <- log(0.373^2 + 1)
  omega_mat <- mrgsolve::dmat(eta_CL)

  #### Simulation time parameters ####
  sim_dur <- 288 # hours
  sim_step <- 1 / 6 # 1 every 10 min

  #### PK/PD targets and PTA parameters ####
  from <- 264
  to <- 288
  targets <- c(0.5, 1)

  #### Setting up the loop for simulations ####
  regimen_cov_grid <- expand.grid(
    dosing_reg_id = dosing_regimens_ids,
    CLCR = clcr_values, # defined in an earlier chunk
    WT = 70, # need a default value, but real value for each patient will be pulled from patients table
    MIC = mics, # defined in an earlier chunk
    SEX = 0,
    AGE = 60,
    BSA = 1.73
  )
  dosing_reg_ids <- regimen_cov_grid$dosing_reg_id
  cov_list <- dplyr::select(regimen_cov_grid, -dosing_reg_id) |>
    split(x = _, f = 1:nrow(regimen_cov_grid))
  
  model_cov_CLCR <-  mrgsolve::mread(model = here::here("Model_implementation_validation/mrgsolve/amox_Fournier_cov_CLCR.cpp"))

  #### Perform the simulations and compute PTA ####
  pta_results <- purrr::map2(
    .x = dosing_reg_ids,
    .y = cov_list,
    .f = ~ wrapper_compute_pta(
      dosing_reg_id = .x,
      path_dosing_regimens = path_dosing_regimens,
      sim_dur = sim_dur,
      sim_step = sim_step,
      model = model_cov_CLCR,
      patients = patients,
      path_parameters = path_parameters,
      cov_default = .y,
      omega_mat = omega_mat,
      from = from,
      to = to,
      targets = targets
    )
  ) |>
    purrr::list_rbind() |> dplyr::bind_cols(cov_list |> purrr::list_rbind() |> dplyr::select(-MIC,-CLCR)) 

  readr::write_csv(
    x = pta_results,
    file = here::here(
      "Model_implementation_validation/data/fournier_2018/sim_results/fig_4_pta_results_twelve_days_of_sim.csv"
    )
  )
}
Show the code
# regimen_id_pta_05 and regimen_id_pta_1 are lists of regimen_id

fig_4_plot_row <- function(path_to_results, selected_clcr, regimen_id_pta_05, regimen_id_pta_1) {
  fig_4_row_pta_05_data <- readr::read_csv(
    file = path_to_results,
    show_col_types = F
  ) |>
    tidyr::pivot_longer(
      cols = tidyselect::starts_with("PTA"),
      values_to = "PTA"
    ) |>
    dplyr::mutate(target = gsub("PTA_", "", x = name), .keep = "unused") |>
    dplyr::filter(target == "0.5") |>
    dplyr::filter(CLCR == selected_clcr & regimen_id %in% regimen_id_pta_05) |>
    as.data.frame()

  fig_4_row_pta_1_data <- readr::read_csv(
    file = fig4_pta_twelve_days_result_path,
    show_col_types = F
  ) |>
    tidyr::pivot_longer(
      cols = tidyselect::starts_with("PTA"),
      values_to = "PTA"
    ) |>
    dplyr::mutate(target = gsub("PTA_", "", x = name), .keep = "unused") |>
    dplyr::filter(target == 1) |>
    dplyr::filter(CLCR == selected_clcr & regimen_id %in% regimen_id_pta_1) |>
    as.data.frame()

  row_data <- dplyr::full_join(fig_4_row_pta_05_data, fig_4_row_pta_1_data) |>
    dplyr::mutate(target = forcats::fct_relevel(target, "0.5", "1"))

  row_plot <- ggplot2::ggplot(row_data, ggplot2::aes(x = MIC, y = PTA, color = as.factor(regimen_id))) +
    ggplot2::geom_point() +
    ggplot2::geom_line() +
    ggplot2::facet_grid(CLCR ~ target,
      labeller = ggplot2::labeller(.default = ggplot2::label_both)
    ) +
    ggplot2::scale_x_continuous("MIC (mg/L)",
      transform = "log2",
      breaks = mics
    ) +
    ggplot2::scale_y_continuous("Probability of target attainment",
      breaks = seq(0, 1, 0.1)
    ) +
    ggplot2::scale_color_brewer(
      name = "Dosing regimen",
      palette = "Dark2"
    ) +
    ggplot2::theme_bw(base_size = 18)

  row_plot
}
Show the code
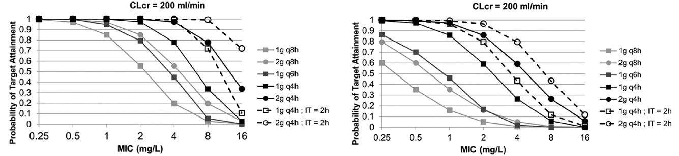
regimen_id_pta_05_clcr200 <- c("1g q8h", "2g q8h", "1g q6h", "1g q4h", "2g q4h", "1g q4h IT = 2h", "2g q4h IT = 2h")
regimen_id_pta_1_clcr200 <- c("1g q8h", "2g q8h", "1g q6h", "1g q4h", "2g q4h", "1g q4h IT = 2h", "2g q4h IT = 2h")
selected_clcr_200 <- 200

fig_4_1st_row_12_days <- fig_4_plot_row(
  path_to_results = fig4_pta_twelve_days_result_path,
  selected_clcr = selected_clcr_200,
  regimen_id_pta_05 = regimen_id_pta_05_clcr200,
  regimen_id_pta_1 = regimen_id_pta_1_clcr200
)
fig_4_1st_row_12_days
Figure 5.1: Attempt at reproducing the first row of figure 4

Show the code
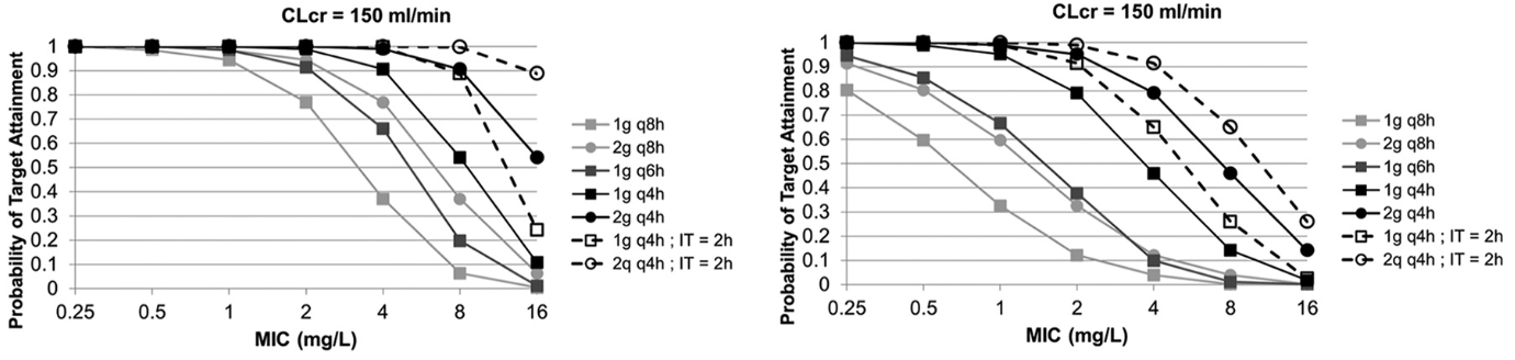
regimen_id_pta_05_clcr150 <- c("1g q8h", "2g q8h", "1g q6h", "1g q4h", "2g q4h", "1g q4h IT = 2h", "2g q4h IT = 2h")
regimen_id_pta_1_clcr150 <- c("1g q8h", "2g q8h", "1g q6h", "1g q4h", "2g q4h", "1g q4h IT = 2h", "2g q4h IT = 2h")
selected_clcr_150 <- 150

fig_4_2nd_row_12_days <- fig_4_plot_row(
  path_to_results = fig4_pta_twelve_days_result_path,
  selected_clcr = selected_clcr_150,
  regimen_id_pta_05 = regimen_id_pta_05_clcr150,
  regimen_id_pta_1 = regimen_id_pta_1_clcr150
)
fig_4_2nd_row_12_days
Figure 5.2: Attempt at reproducing the second row of figure 4, twelve days of simulation

Show the code
regimen_id_pta_05_clcr100 <- c("1g q8h", "2g q8h", "1g q6h", "1g q4h", "2g q4h", "1g q4h IT = 2h", "2g q6h IT = 2h")
regimen_id_pta_1_clcr100 <- c("1g q8h", "2g q8h", "1g q6h", "1g q4h", "2g q4h", "1g q4h IT = 2h", "2g q4h IT = 2h", "2g 6h IT = 2h")
selected_clcr_100 <- 100

fig_4_3rd_row_12_days <- fig_4_plot_row(
  path_to_result = fig4_pta_twelve_days_result_path,
  selected_clcr = selected_clcr_100,
  regimen_id_pta_05 = regimen_id_pta_05_clcr100,
  regimen_id_pta_1 = regimen_id_pta_1_clcr100
)
fig_4_3rd_row_12_days
Figure 5.3: Attempt at reproducing the third row of figure 4, twelve days of simulation

Show the code
regimen_id_pta_05_clcr60 <- c("1g q8h", "2g q8h", "1g q6h", "1g q4h", "2g q4h", "1g q6h IT = 2h", "2g q8h IT = 2h")
regimen_id_pta_1_clcr60 <- c("1g q8h", "2g q8h", "2g 8h IT = 2h", "1g q6h", "1g q4h", "2g q4h", "1g q6h IT = 2h", "2g q4h IT = 2h")
selected_clcr_60 <- 60

fig_4_4th_row_12_days <- fig_4_plot_row(
  path_to_result = fig4_pta_twelve_days_result_path,
  selected_clcr = selected_clcr_60,
  regimen_id_pta_05 = regimen_id_pta_05_clcr60,
  regimen_id_pta_1 = regimen_id_pta_1_clcr60
)
fig_4_4th_row_12_days
Figure 5.4: Attempt at reproducing the fourth row of figure 4, twelve days of simulation

Show the code
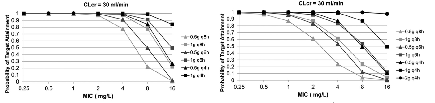
regimen_id_pta_05_clcr30 <- c("0.5g q8h", "1g q8h", "0.5g q6h", "1g q6h", "0.5g q4h", "1g q4h")
regimen_id_pta_1_clcr30 <- c("0.5g q8h", "1g q8h", "0.5g 6h", "1g q6h", "0.5g q4h", "1g q4h", "2g q4h")
selected_clcr_30 <- 30

fig_4_5th_row_12_days <- fig_4_plot_row(
  path_to_result = fig4_pta_twelve_days_result_path,
  selected_clcr = selected_clcr_30,
  regimen_id_pta_05 = regimen_id_pta_05_clcr30,
  regimen_id_pta_1 = regimen_id_pta_1_clcr30
)
fig_4_5th_row_12_days
Figure 5.5: Attempt at reproducing the fifth row of figure 4, twelve days of simulation

Show the code
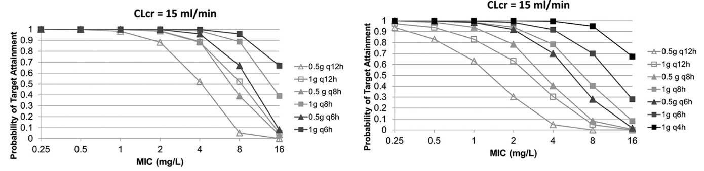
regimen_id_pta_05_clcr15 <- c("0.5g q12h", "1g q12h", "0.5g q8h", "1g q8h", "0.5g q6h", "1g q6h")
regimen_id_pta_1_clcr15 <- c("0.5g q12h", "1g q12h", "0.5g q8h", "1g q8h", "0.5g q6h", "1g q6h", "1g q4h")
selected_clcr_15 <- 15

fig_4_5th_row_12_days <- fig_4_plot_row(
  path_to_result = fig4_pta_twelve_days_result_path,
  selected_clcr = selected_clcr_15,
  regimen_id_pta_05 = regimen_id_pta_05_clcr15,
  regimen_id_pta_1 = regimen_id_pta_1_clcr15
)
fig_4_5th_row_12_days
Figure 5.6: Attempt at reproducing the sixth row of figure 4, twelve days of simulation

Regarding over or under estimation of PTA in relation to MIC, compared with PTAs of the original article, no trend can be distinguished. Differences are of the order of 5%. Our simulations line up well with the published figures.

To facilitate comparison between our simulations and the article figure 4, results of our simulations were plotted with article data. Data from the original figure 4 of the article were digitalized. They are the dashed lines in the following figures.

Show the code
# create csv files containing data from article's figure 4 
# for each row, one file for PTA 0.5 and one for PTA 1 

#### function ####

# wanted_pattern has to be written inside quotes 
# and is the pattern common to the downloaded files joined to form one csv 
# # csv to write inside data_fig_4
# csv_pta_fig_4 = function(wanted_pattern, path_to_new_file) {
#   files = list.files(path = here::here("../../../Downloads"),
#                      pattern = wanted_pattern)
#   
#   pta = purrr::map(.x = files,
#                    .f = ~readr::read_csv(file.path(here::here("../../../Downloads"), .x))) |>
#     dplyr::bind_rows() |>
#     write.csv(file = path_to_new_file)
# }
# 
# #### create files ####
# # run only if the folder containing digitalized data doesn't exist
# if(!file.exists(here::here("Model_implementation_validation/data/fournier_2018/data_fig_4"))) {
# # 1st row, left
# csv_pta_fig_4(wanted_pattern = "left_1st_row",
#               path_to_new_file = here::here("Model_implementation_validation/data/fournier_2018/data_fig_4/pta_05_top_row.csv"))
# # 1st row, right 
# csv_pta_fig_4(wanted_pattern = "right_1st_row",
#               path_to_new_file = here::here("Model_implementation_validation/data/fournier_2018/data_fig_4/pta_1_top_row.csv"))
# # 2nd row, left
# csv_pta_fig_4(wanted_pattern = "left_2nd_row",
#               path_to_new_file = here::here("Model_implementation_validation/data/fournier_2018/data_fig_4/pta_05_2nd_row.csv"))
# # 2nd row, right 
# csv_pta_fig_4(wanted_pattern = "right_2nd_row",
#               path_to_new_file = here::here("Model_implementation_validation/data/fournier_2018/data_fig_4/pta_1_2nd_row.csv"))
# # 3rd row, left
# csv_pta_fig_4(wanted_pattern = "left_3rd_row",
#               path_to_new_file = here::here("Model_implementation_validation/data/fournier_2018/data_fig_4/pta_05_3rd_row.csv"))
# # 3rd row, right 
# csv_pta_fig_4(wanted_pattern = "right_3rd_row",
#               path_to_new_file = here::here("Model_implementation_validation/data/fournier_2018/data_fig_4/pta_1_3rd_row.csv"))
# # 4th row, left
# csv_pta_fig_4(wanted_pattern = "left_4th_row",
#               path_to_new_file = here::here("Model_implementation_validation/data/fournier_2018/data_fig_4/pta_05_4th_row.csv"))
# # 4th row, right
# csv_pta_fig_4(wanted_pattern = "right_4th_row",
#               path_to_new_file = here::here("Model_implementation_validation/data/fournier_2018/data_fig_4/pta_1_4th_row.csv"))
# # 5th row, left
# csv_pta_fig_4(wanted_pattern = "left_5th_row",
#               path_to_new_file = here::here("Model_implementation_validation/data/fournier_2018/data_fig_4/pta_05_5th_row.csv"))
# # 5th row, right
# csv_pta_fig_4(wanted_pattern = "right_5th_row",
#               path_to_new_file = here::here("Model_implementation_validation/data/fournier_2018/data_fig_4/pta_1_5th_row.csv"))
# # 6th row, left
# csv_pta_fig_4(wanted_pattern = "left_6th_row",
#               path_to_new_file = here::here("Model_implementation_validation/data/fournier_2018/data_fig_4/pta_05_6th_row.csv"))
# # 6th row, right
# csv_pta_fig_4(wanted_pattern = "right_6th_row",
#               path_to_new_file = here::here("Model_implementation_validation/data/fournier_2018/data_fig_4/pta_1_6th_row.csv"))
# }
Show the code
# regimen_id_pta_05 and regimen_id_pta_1 are character vectors containing dosing regimens for a given creatinin clearance/row and target
# path_to_pta_05_article, path_to_pta_1_article are files containing digitalized pTA from figure 4 for this given creatinin clearance/row and target

fig_4_new_plot_row = function(path_to_pta_05_article, path_to_pta_1_article, path_to_results, selected_clcr, regimen_id_pta_05, regimen_id_pta_1) {
  
  article_pta_0.5 = readr::read_csv(file = path_to_pta_05_article, show_col_types = FALSE) |>
  dplyr::filter(regimen_id %in% regimen_id_pta_05) |>
  dplyr::select(y, regimen_id) |>
  dplyr::rename(PTA_article = y)
  
  # add MICs for all dosing regimens to join article and simulated data later 
  # work because digitalized data were sorted by x (MIC) before their export
  article_pta_0.5_2 = article_pta_0.5 |>
    dplyr::mutate(MIC = rep(c(0.25, 0.5, 1, 2, 4, 8, 16), times = (nrow(article_pta_0.5)/7)))

article_pta_1 = readr::read_csv(file = path_to_pta_1_article, show_col_types = FALSE) |>
  dplyr::filter(regimen_id %in% regimen_id_pta_1) |>
  dplyr::select(y, regimen_id) |>
  dplyr::rename(PTA_article = y)

article_pta_1_2 = article_pta_1 |>
  dplyr::mutate(MIC = rep(c(0.25, 0.5, 1, 2, 4, 8, 16), times = (nrow(article_pta_1)/7)))

fig_4_row_pta_05_data <- readr::read_csv(
    file = path_to_results,
    show_col_types = F
  ) |>
    tidyr::pivot_longer(
      cols = tidyselect::starts_with("PTA"),
      values_to = "PTA"
    ) |>
    dplyr::mutate(target = gsub("PTA_", "", x = name), .keep = "unused") |>
    dplyr::filter(target == 0.5) |>
    dplyr::filter(CLCR == selected_clcr & regimen_id %in% regimen_id_pta_05) |>
    as.data.frame() |>
    merge(y = article_pta_0.5_2, .by = MIC) 
fig_4_row_pta_05_data

fig_4_row_pta_1_data <- readr::read_csv(
    file = path_to_results,
    show_col_types = F
  ) |>
    tidyr::pivot_longer(
      cols = tidyselect::starts_with("PTA"),
      values_to = "PTA"
    ) |>
    dplyr::mutate(target = gsub("PTA_", "", x = name), .keep = "unused") |>
    dplyr::filter(target == 1) |>
    dplyr::filter(CLCR == selected_clcr & regimen_id %in% regimen_id_pta_1) |>
    as.data.frame()|>
    merge(y = article_pta_1_2, .by = MIC)

  row_data <- dplyr::full_join(fig_4_row_pta_05_data, fig_4_row_pta_1_data) |>
    dplyr::mutate(target = forcats::fct_relevel(target, "0.5", "1"))
  row_data

  mics = c(0.25, 0.5, 1, 2, 4, 8, 16)
  row_plot <- ggplot2::ggplot(row_data, ggplot2::aes(x = MIC, y = PTA, color = as.factor(regimen_id))) +
    ggplot2::geom_point(mapping = ggplot2::aes(x = MIC, y = PTA)) +
    ggplot2::geom_line(mapping = ggplot2::aes(x = MIC, y = PTA)) +
    ggplot2::geom_point(mapping = ggplot2::aes(x = MIC, y = PTA_article)) +
    ggplot2::geom_line(mapping = ggplot2::aes(x = MIC, y = PTA_article), linetype = "dashed") +
    ggplot2::facet_grid(CLCR ~ target,
      labeller = ggplot2::labeller(.default = ggplot2::label_both)
    ) +
    ggplot2::scale_x_continuous("MIC (mg/L)",
      transform = "log2",
      breaks = mics
    ) +
    ggplot2::scale_y_continuous("Probability of target attainment",
      breaks = seq(0, 1, 0.1)
    ) +
    ggplot2::scale_color_brewer(
      name = "Dosing regimen",
      palette = "Dark2"
    ) +
    ggplot2::theme_bw(base_size = 18)

  row_plot
  
}
Show the code
regimen_id_pta_05_clcr200 <- c("1g q8h", "2g q8h", "1g q6h", "1g q4h", "2g q4h", "1g q4h IT = 2h", "2g q4h IT = 2h")
regimen_id_pta_1_clcr200 <- c("1g q8h", "2g q8h", "1g q6h", "1g q4h", "2g q4h", "1g q4h IT = 2h", "2g q4h IT = 2h")
selected_clcr_200 <- 200

plot_top_row = fig_4_new_plot_row(path_to_pta_05_article = here::here("Model_implementation_validation/data/fournier_2018/data_fig_4/pta_05_top_row.csv"),
                                  path_to_pta_1_article = here::here("Model_implementation_validation/data/fournier_2018/data_fig_4/pta_1_top_row.csv"),
                                  path_to_results = here::here("Model_implementation_validation/data/fournier_2018/sim_results/fig_4_pta_results_twelve_days_of_sim.csv"), 
                                  selected_clcr = selected_clcr_200, 
                                  regimen_id_pta_05 = regimen_id_pta_05_clcr200, 
                                  regimen_id_pta_1 = regimen_id_pta_1_clcr200)

plot_top_row
Figure 5.7: Reproduction of the first row of figure 4
Show the code
regimen_id_pta_05_clcr150 <- c("1g q8h", "2g q8h", "1g q6h", "1g q4h", "2g q4h", "1g q4h IT = 2h", "2g q4h IT = 2h")
regimen_id_pta_1_clcr150 <- c("1g q8h", "2g q8h", "1g q6h", "1g q4h", "2g q4h", "1g q4h IT = 2h", "2g q4h IT = 2h")
selected_clcr_150 <- 150

plot_2nd_row = fig_4_new_plot_row(path_to_pta_05_article = here::here("Model_implementation_validation/data/fournier_2018/data_fig_4/pta_05_2nd_row.csv"),
                                  path_to_pta_1_article = here::here("Model_implementation_validation/data/fournier_2018/data_fig_4/pta_1_2nd_row.csv"),
                                  path_to_results = here::here("Model_implementation_validation/data/fournier_2018/sim_results/fig_4_pta_results_twelve_days_of_sim.csv"), 
                                  selected_clcr = selected_clcr_150, 
                                  regimen_id_pta_05 = regimen_id_pta_05_clcr150, 
                                  regimen_id_pta_1 = regimen_id_pta_1_clcr150)
plot_2nd_row
Figure 5.8: Reproduction of the 2nd row of figure 4
Show the code
regimen_id_pta_05_clcr100 <- c("1g q8h", "2g q8h", "1g q6h", "1g q4h", "2g q4h", "1g q4h IT = 2h", "2g q6h IT = 2h")
regimen_id_pta_1_clcr100 <- c("1g q8h", "2g q8h", "1g q6h", "1g q4h", "2g q4h", "1g q4h IT = 2h", "2g q4h IT = 2h", "2g 6h IT = 2h")
selected_clcr_100 <- 100

plot_3rd_row = fig_4_new_plot_row(path_to_pta_05_article = here::here("Model_implementation_validation/data/fournier_2018/data_fig_4/pta_05_3rd_row.csv"),
                                  path_to_pta_1_article = here::here("Model_implementation_validation/data/fournier_2018/data_fig_4/pta_1_3rd_row.csv"),
                                  path_to_results = here::here("Model_implementation_validation/data/fournier_2018/sim_results/fig_4_pta_results_twelve_days_of_sim.csv"), 
                                  selected_clcr = selected_clcr_100, 
                                  regimen_id_pta_05 = regimen_id_pta_05_clcr100, 
                                  regimen_id_pta_1 = regimen_id_pta_1_clcr100)
plot_3rd_row
Figure 5.9: Reproduction of the 3rd row of figure 4
Show the code
regimen_id_pta_05_clcr60 <- c("1g q8h", "2g q8h", "1g q6h", "1g q4h", "2g q4h", "1g q6h IT = 2h", "2g q8h IT = 2h")
regimen_id_pta_1_clcr60 <- c("1g q8h", "2g q8h", "2g 8h IT = 2h", "1g q6h", "1g q4h", "2g q4h", "1g q6h IT = 2h", "2g q4h IT = 2h")
selected_clcr_60 <- 60

plot_4th_row = fig_4_new_plot_row(path_to_pta_05_article = here::here("Model_implementation_validation/data/fournier_2018/data_fig_4/pta_05_4th_row.csv"),
                                  path_to_pta_1_article = here::here("Model_implementation_validation/data/fournier_2018/data_fig_4/pta_1_4th_row.csv"),
                                  path_to_results = here::here("Model_implementation_validation/data/fournier_2018/sim_results/fig_4_pta_results_twelve_days_of_sim.csv"), 
                                  selected_clcr = selected_clcr_60, 
                                  regimen_id_pta_05 = regimen_id_pta_05_clcr60, 
                                  regimen_id_pta_1 = regimen_id_pta_1_clcr60)
plot_4th_row
Figure 5.10: Reproduction of the 4th row of figure 4
Show the code
regimen_id_pta_05_clcr30 <- c("0.5g q8h", "1g q8h", "0.5g q6h", "1g q6h", "0.5g q4h", "1g q4h")
regimen_id_pta_1_clcr30 <- c("0.5g q8h", "1g q8h", "0.5g 6h", "1g q6h", "0.5g q4h", "1g q4h", "2g q4h")
selected_clcr_30 <- 30

plot_5th_row = fig_4_new_plot_row(path_to_pta_05_article = here::here("Model_implementation_validation/data/fournier_2018/data_fig_4/pta_05_5th_row.csv"),
                                  path_to_pta_1_article = here::here("Model_implementation_validation/data/fournier_2018/data_fig_4/pta_1_5th_row.csv"),
                                  path_to_results = here::here("Model_implementation_validation/data/fournier_2018/sim_results/fig_4_pta_results_twelve_days_of_sim.csv"), 
                                  selected_clcr = selected_clcr_30, 
                                  regimen_id_pta_05 = regimen_id_pta_05_clcr30, 
                                  regimen_id_pta_1 = regimen_id_pta_1_clcr30)
plot_5th_row
Figure 5.11: Reproduction of the 5th row of figure 4
Show the code
regimen_id_pta_05_clcr15 <- c("0.5g q12h", "1g q12h", "0.5g q8h", "1g q8h", "0.5g q6h", "1g q6h")
regimen_id_pta_1_clcr15 <- c("0.5g q12h", "1g q12h", "0.5g q8h", "1g q8h", "0.5g q6h", "1g q6h", "1g q4h")
selected_clcr_15 <- 15

plot_6th_row = fig_4_new_plot_row(path_to_pta_05_article = here::here("Model_implementation_validation/data/fournier_2018/data_fig_4/pta_05_6th_row.csv"),
                                  path_to_pta_1_article = here::here("Model_implementation_validation/data/fournier_2018/data_fig_4/pta_1_6th_row.csv"),
                                  path_to_results = here::here("Model_implementation_validation/data/fournier_2018/sim_results/fig_4_pta_results_twelve_days_of_sim.csv"), 
                                  selected_clcr = selected_clcr_15, 
                                  regimen_id_pta_05 = regimen_id_pta_05_clcr15, 
                                  regimen_id_pta_1 = regimen_id_pta_1_clcr15)
plot_6th_row
Figure 5.12: Reproduction of the 6th row of figure 4

Regarding over or under estimation of PTA in relation to MIC, compared with PTAs of the original article, no trend can be distinguished. Differences are of the order of 5%. Our simulations line up well with the published figures.

5.3 Reproduction of table 4

Table 4 represents the influence of bodyweight and creatinin clearance on fT>MIC means and PTAs for two targets. Four bodyweight (50, 70, 100, 150 kg) and 3 creatinin clearance were studied. Dosing regimen was 1g infused over 30 minutes every eight hours and MIC was 8 mg/L. For each condition, 500 patients were simulated.

Show the code
patients_tbl_4 = tibble::tibble(ID = 1:500)
patients_tbl_4

write.csv(x = patients_tbl_4, file = here::here("Model_implementation_validation/data/fournier_2018/patients_tbl_4.csv"))
Show the code
wrapper_compute_pta_bw <- function(dosing_reg_id,
                                path_dosing_regimens,
                                sim_dur,
                                sim_step,
                                model,
                                patients,
                                path_parameters = NULL,
                                cov_default,
                                omega_mat,
                                sigma_mat = NULL,
                                from,
                                to,
                                targets) {
  dosing_reg <- select_dosing_regimens(
    selected_regimen = dosing_reg_id,
    path_to_the_file = path_dosing_regimens
  )

  sim <- simulate_mrgsolve(
    dosing_regimen = dosing_reg,
    sim_dur = sim_dur,
    model = model,
    patients = patients,
    sim_step = sim_step,
    param_file = path_parameters,
    cov_default = cov_default,
    omega_mat = omega_mat,
    sigma_mat = sigma_mat
  )
  
  pta <-
    purrr::map(
      targets,
      ~ compute_ft_over_mic(
        sim_tbl = sim,
        from = from,
        to = to
      ) |>
        compute_pta_t_over_mic(target = .x)
    ) |>
    purrr::reduce(dplyr::left_join) |>
    dplyr::mutate(
      
      regimen_id = dosing_reg_id,
      BW = cov_default$WT,
      CRCL = cov_default$CLCR)
  
  pta
}
Show the code
#### List of covariates ####
tbl = expand.grid(CLCR = c(30, 100, 200),
            WT = c(50, 70, 100, 150)) |>
  dplyr::mutate(MIC = 8,
                SEX = 0,
                AGE = 60,
                BSA = 1.73)

list_clcr_bw  = split(tbl, seq(nrow(tbl)))
list_clcr_bw

#### Dosing regimen to be simulated ####
  path_dosing_regimens <- here::here("Model_implementation_validation/data/fournier_2018/dosing_regimen_fig_4.csv")
  dose = "1g q8h"


#### Patients ####
  patients_id <- readr::read_csv(
    file = here::here("Model_implementation_validation/data/fournier_2018/patients_tbl_4.csv"),
    show_col_types = F
  )

#### Simulation time parameters ####
  sim_dur <- 288 # hours
  sim_step <- 1 / 6 # 1 every 10 min

#### PK/PD targets and PTA parameters ####
  from <- 264
  to <- 288
  targets <- c(0.5, 1)

  model_cov_CLCR <-  mrgsolve::mread(model = here::here("Model_implementation_validation/mrgsolve/amox_Fournier_cov_CLCR.cpp"))
#### Simulations ####
sim_tbl_4 = purrr::map(.x = list_clcr_bw,
                  .f = ~wrapper_compute_pta_bw(dosing_reg_id = dose,
                                path_dosing_regimens = path_dosing_regimens,
                                sim_dur = sim_dur,
                                sim_step = sim_step,
                                model = model_cov_CLCR,
                                patients = patients_id,
                                cov_default = .x,
                                omega_mat = NULL,
                                from = 264,
                                to = 288,
                                targets = targets)) |>
  purrr::list_rbind()
sim_tbl_4 

#### Display the results ####

pretty_sim_tbl_4_2 = sim_tbl_4 |>
  dplyr::select(mean_ft_over_mic, sd_ft_over_mic, PTA_0.5, PTA_1, CRCL , BW) |>
  dplyr::group_by(CRCL) |>
  dplyr::arrange(BW, .by_group = TRUE) |>
  dplyr::ungroup() |>
  dplyr::relocate(CRCL, BW) |>
  dplyr::rename("fT>MIC, mean" = mean_ft_over_mic,
                "fT>MIC, SD" = sd_ft_over_mic,
                "PTA fT>MIC ≥ 50%" = PTA_0.5,
                "PTA fT>MIC ≥ 100%" = PTA_1)
pretty_sim_tbl_4_2 |>
  knitr::kable()

write.csv(x = sim_tbl_4, file = here::here("Model_implementation_validation/data/fournier_2018/sim_results/tbl_4_reproduction.csv"))

#### Article values####
article_mean_ft_over_mic = c(0.65, 0.34, 0.18,
                             0.68, 0.36, 0.19,
                             0.72, 0.38, 0.21,
                             0.76, 0.42, 0.23)
article_sd_ft_over_mic = c(0.24, 0.18, 0.10,
                           0.24, 0.19, 0.10,
                           0.24, 0.20, 0.11,
                           0.23, 0.21, 0.12)
article_pta_0.5 = c(0.69, 0.16, 0.012,
                    0.73, 0.19, 0.018,
                    0.77, 0.22, 0.03,
                    0.82, 0.27, 0.04)
article_pta_1 = c(0.17, 0.008, 0,
                  0.21, 0.01, 0,
                  0.26, 0.02, 0,
                  0.32, 0.04, 0)

Simulated results are rounded to three significant digits. fT>MIC and PTA were computed between the 11th and 12th day of simulation.

Show the code
sim_tbl_4_2 = readr::read_csv(here::here("Model_implementation_validation/data/fournier_2018/sim_results/tbl_4_reproduction.csv"), show_col_types = F)

pretty_sim_tbl_4 = sim_tbl_4_2 |>
  dplyr::mutate_if(is.numeric, round, digits=3)|>
  dplyr::select(mean_ft_over_mic, sd_ft_over_mic, PTA_0.5, PTA_1, CRCL, BW) |>
  dplyr::mutate(article_mean_ft_over_mic = article_mean_ft_over_mic,
                article_sd_ft_over_mic = article_sd_ft_over_mic,
                article_pta_0.5 = article_pta_0.5,
                article_pta_1 = article_pta_1) |>
  dplyr::mutate(pretty_crcl = paste("CRCL ",CRCL, " mL/min", sep = "")) |>
  dplyr::relocate(CRCL, BW) |>
  gt::gt(groupname_col = 'pretty_crcl') |>
  gt::tab_spanner(label = gt::md('fT>MIC, mean'),
                  columns = c('mean_ft_over_mic', 'article_mean_ft_over_mic')) |>
  gt::tab_spanner(label = gt::md('fT>MIC, sd'),
                  columns = c('sd_ft_over_mic', 'article_sd_ft_over_mic')) |>
  gt::tab_spanner(label = gt::md('PTA fT>MIC ≥ 50%'),
                  columns = c('PTA_0.5', 'article_pta_0.5')) |>
  gt::tab_spanner(label = gt::md('PTA fT>MIC ≥ 100%'),
                  columns = c('PTA_1', 'article_pta_1')) |>
  gt::cols_label(mean_ft_over_mic = "fT>MIC, mean",
                 sd_ft_over_mic = "fT>MIC, SD",
                 PTA_0.5 = "PTA fT>MIC ≥ 50%",
                 PTA_1 = "PTA fT>MIC ≥ 100%",
                 article_mean_ft_over_mic = "Article fT>MIC, mean",
                 article_sd_ft_over_mic = "Article fT>MIC, SD",
                 article_pta_0.5 = "Article PTA fT>MIC ≥ 50%",
                 article_pta_1 = "Article PTA fT>MIC ≥ 100%") |>
  gt::opt_stylize(style = 2, color = "gray")
pretty_sim_tbl_4
CRCL BW
fT>MIC, mean
fT>MIC, sd
PTA fT>MIC ≥ 50%
PTA fT>MIC ≥ 100%
fT>MIC, mean Article fT>MIC, mean fT>MIC, SD Article fT>MIC, SD PTA fT>MIC ≥ 50% Article PTA fT>MIC ≥ 50% PTA fT>MIC ≥ 100% Article PTA fT>MIC ≥ 100%
CRCL 30 mL/min
30 50 0.630 0.65 0.235 0.24 0.662 0.690 0.132 0.170
30 70 0.667 0.68 0.236 0.24 0.718 0.730 0.178 0.210
30 100 0.701 0.72 0.243 0.24 0.750 0.770 0.244 0.260
30 150 0.765 0.76 0.237 0.23 0.812 0.820 0.338 0.320
CRCL 100 mL/min
100 50 0.331 0.34 0.162 0.18 0.140 0.160 0.004 0.008
100 70 0.332 0.36 0.171 0.19 0.144 0.190 0.002 0.010
100 100 0.371 0.38 0.185 0.20 0.198 0.220 0.016 0.020
100 150 0.407 0.42 0.195 0.21 0.250 0.270 0.016 0.040
CRCL 200 mL/min
200 50 0.176 0.18 0.095 0.10 0.012 0.012 0.000 0.000
200 70 0.190 0.19 0.100 0.10 0.024 0.018 0.000 0.000
200 100 0.195 0.21 0.087 0.11 0.010 0.030 0.000 0.000
200 150 0.213 0.23 0.103 0.12 0.018 0.040 0.002 0.000

We reproduced the results very well !